EX-SEC-SOCIEDADE DE EMPREITADAS E CONSTRUÇÕES - O DESAGRAVO...
Já há algum tempo que não escrevo sobre a SEC, melhor dizendo, sobre a ex-SEC.
Claro que não sendo a única razão, o facto de estar constituído arguido numa queixa interposta pelo GRANDE MECENAS SOCIAL senhor Almerindo Carneiro, me impõe evidentemente algum dever de contenção. Mas hoje vou abrir uma excepção, até porque o que vou escrever é para dizer bem e para admitir que em algum momento, nos muitos artigos que aqui publiquei sobre esta eminente empresa, devo ter sido eventualmente injusto, de outra forma o dito senhor não teria apresentado a tal queixa.
Item 1:
Pessoas mal intencionadas fizeram-me chegar há dias uma informação sobre alegada dissimulação de património para fugir à apreensão do mesmo decretada pelo Tribunal no processo de insolvência em curso.
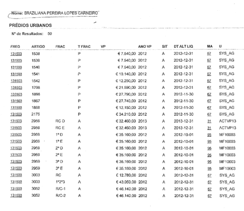
Juntaram uma relação de prédios urbanos e alguns rústicos, afirmando que isso pertenceria - deveria pertencer - à massa falida...
Depois de uma rápida e expedita investigação, concluí que é uma absoluta falsidade, como se pode ver pelos recortes abaixo, onde o titular, aliás, a titular porque é uma senhora, não tem, que eu saiba, nada a ver com a SEC!
Os recortes que comprovam a falsidade da referida acusação:
Fica aqui portanto o desagravo à SEC, aliás ex-SEC, 'por algumas coisas menos agradáveis que eu eventualmente tenha escrito e que não sei muito bem quais teriam sido', através desta vasta relação patrimonial de uma senhora para mim completamente desconhecida e que pela parte que me toca, continuará a contar com toda a reserva da sua privacidade.
Sem pretender retirar disso qualquer ilação, constato apenas que por acaso é possuidora de um interessante património, mas que ninguém tem nada com isso!
A única coincidência, essa sim desagradável, é que o terá registado a seu favor por alturas de 2012, isto é, precisamente quando a SEC começava a entrar na turbulência que a havia de conduzir ao processo de insolvência em curso. Mas coincidências são isso mesmo, coincidências e quem é que as pode controlar?
Item 2:
Os mesmos informadores anónimos - e maldosos, devo acrescentar - já referidos, acusavam, a propósito da apreensão de património e da relação do mesmo que irá a leilão, que as viaturas de uso pessoal da SEC teriam 'desaparecido'.
Fui igualmente para o terreno investigar e uma vez mais confirmei a completa e injusta falsidade desta acusação:
O ex-gerente da SEC, ao contrário do que eventualmente faria qualquer outro empresário em circunstâncias análogas, em vez de 'arrumar' para um canto - para o canto da massa falida - os BMW, os Audi, os Mercedes, etc., onde estariam neste momento a degradar-se como o resto das máquinas que sobraram para leilão, mandou distribuí-las pelos ex-funcionários!
É Verdade! Neste momento andam a ser conduzidas pelos ex-colaboradores e eu posso confirmar pelo menos alguns casos!
É claro que não fui exaustivo na investigação, ao ponto de poder afirmar que todos tiveram o seu BMW, Audi ou equivalente, mas imagino que sim
Como se pode constatar, nem sempre o que nos 'vendem' como verdade o é de facto e neste caso da SEC, melhor dizendo, da ex-SEC não é mesmo!
Em jeito de conclusão e apenas para satisfazer uma pequenina e inocente curiosidade, alguém me sabe dizer quem será a distinta senhora que é proprietária do interessante património acima referido? Se ninguém souber, também não é assim tão importante, deixem lá...



